(후기) 모든 문제가 수능공부만 했으면 다 익숙한 문제이다. 근데 계산이 좀 많이 더럽다.
대부분 지원자들이 현장에서 계산에서 말렸을거라 본다. 특히 대문항2번은 참 실망스럽다.
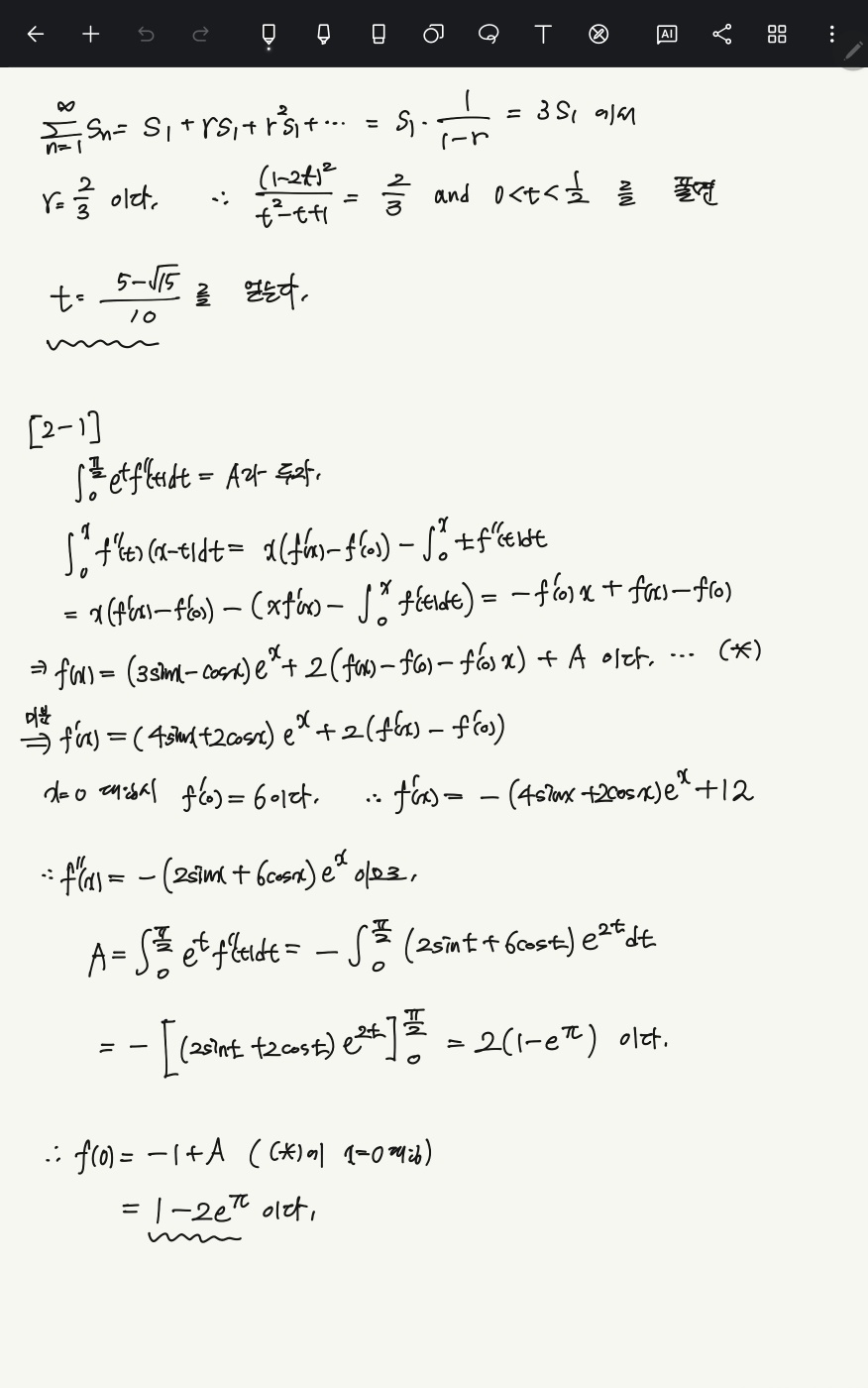
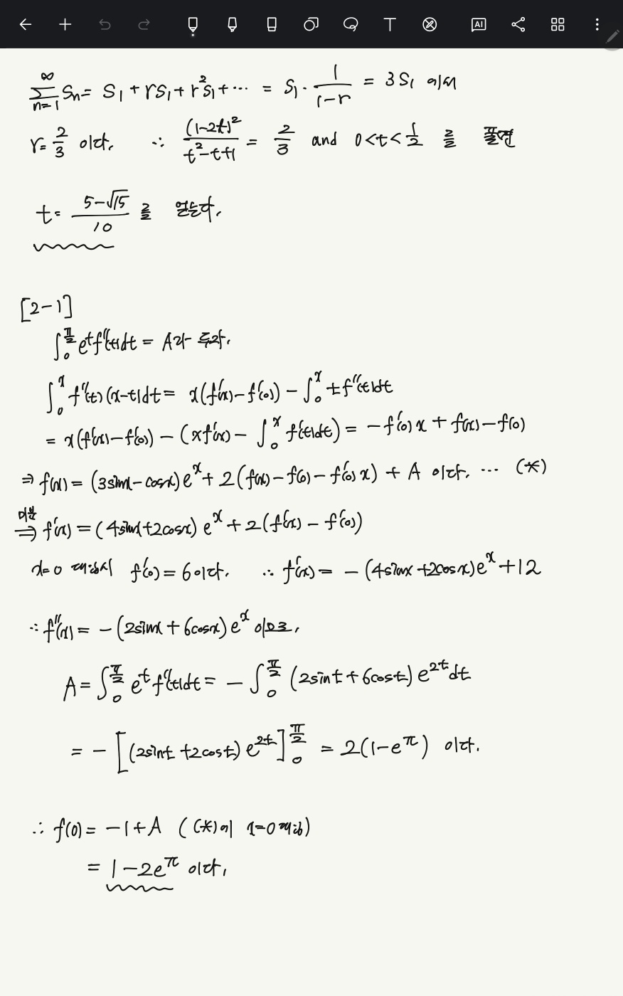
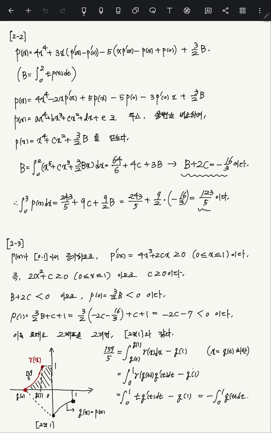
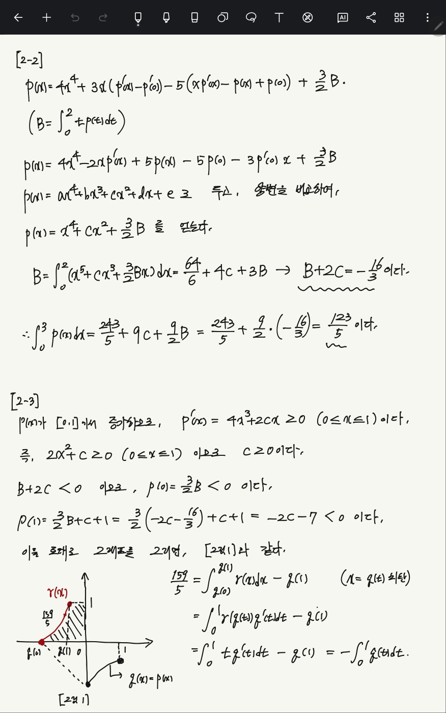
(풀이)






'취미 > 수학' 카테고리의 다른 글
| 2025 5월 모의고사 수학 공통 해설 (0) | 2025.05.09 |
|---|---|
| 2016 서울대구술 문제6번 풀이 (0) | 2025.04.25 |
| 2025 3월 모의고사 기하 해설 (0) | 2025.03.28 |
| 2025 3월 모의고사 미적분 해설 (0) | 2025.03.28 |
| 2025 3월 모의고사 확률과 통계 해설 (0) | 2025.03.28 |
댓글