경찰대는 기본적으로 시간을 쓰게 한다. 이 때, 이 시간을 줄이는 방법이 있는 문제를 낸다.
즉, 문제들이 상당히 훌륭하다. 주요문항에 대한 사고정리를 남겨본다.
2번: 주관식으로 만날때 무서운 문제. 그냥 해보는 수밖에 없다.
4번: 정수조건 부정방정식 꼴에서 배수관계와 제곱수를 4로 나눈 나머지가 {0,1}만 가능함을 이용하자.
5번: 문제자체는 쉬운데 이런 문제를 풀땐, 최대한 계산을 최후로 미루고 합차공식이나 다른 합꼴을
이용할 수 있는지 살펴보자.
11번: 공차가 정수이므로, 홀수항의 cos(pi*an)값은 cos(pi*a1)과 부호가 같다!!
이 부분을 이용하면, 7항까지 합이 음수가 되므로, cos(pi*a1)=-1임을 안다.
마찬가지로, cos(pi*a2)와 a4, a6 등도 부호가 같으므로... 합이 -4가 되려면 양수여야 한다.
매우 좋은 문제
12번: 분모에 두 항이 있으면 그냥 부분분수로 쪼개자.
14번: 경우를 잘 나눠주면 된다. 항상 경계선 부분을 조심하며 카운팅하자.
15번: ㄱ,ㄴ정도는 잘 해결했을꺼고, ㄷ에서 오직 1개의 실근임을 밝히는 부분만 보자.
이런 경우는 사이값정리로 부족하다. 사이값정리는 존재성만 보장하지, 유일성을 보장해주지 않는다.
따라서 이런 유일근 문제에서 자주 쓰이는 방식이 [최소 1개 존재 + 그 함수가 구간내 증가/감소]와 같은
논리이다. 이 문제의 까다로운 점은 구간내에서 증감이 바뀌어서 단조성으로 해결이 안된다.
그래서 결국엔 삼차식의 개형과 부호를 통해 해결하는 난이도높은 문제다. 논술 느낌의 문제.
16번: 계산은 학생들이 열심히 아주 열심히 하면 되는데 그냥 난 꼼수로 풀었다.
합이 1이고 k는 두개의 곱으로 나오는데 대충 분모에 4가 있으니까 a=~/2 , b=~/2 구나 하고
선지역추적을 해보자. 이상한 넓이공식 외우지 말고 넓이공식은 이차함수만으로 충분하다..
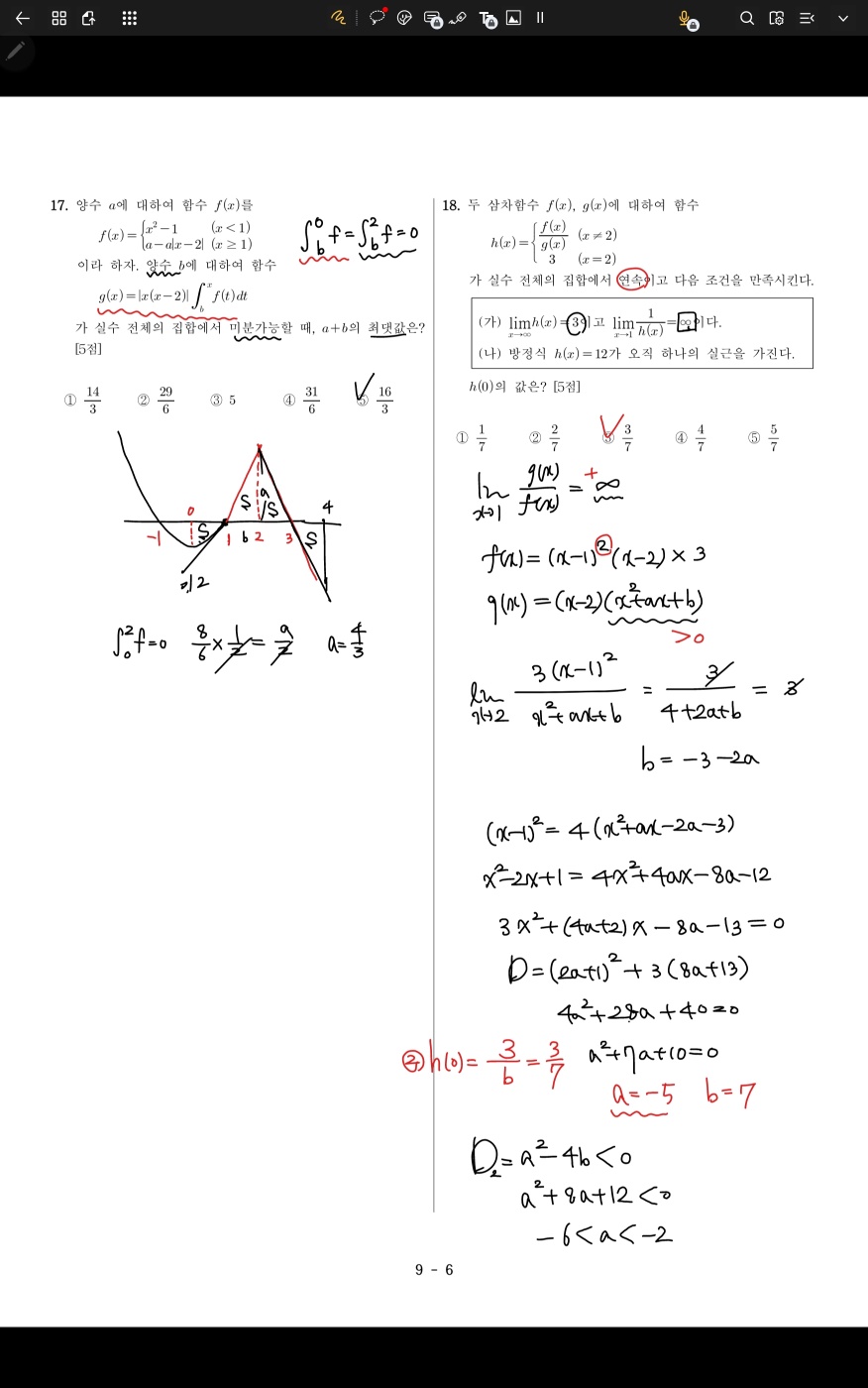
18번: 매우 훌륭한 문제다. (가)조건의 극한 무한대를 해석하는게 허를 찌르는 문제였다.
우리가 보통 극한이 무한대다! 이러면 아 분모 0으로 가네~ 하고 끝이지만, 이문제의 경우
양의 무한대로 발산하고 있으므로, 이걸 통해 인수를 1개 더 갖는다는 점을 찾아내야 한다.
이 문제의 두번째 포인트는 f(x)/g(x)가 2가 아닐때도 계속 연속이라는 조건이다.
정말 주의할 점이 f(x), g(x)가 공통인수를 가지므로 약분해서 없애서 시작하면 안된다.
즉, (x-a)F(x)/(x-a)G(x) 와 F(x)/G(x)는 엄연히 다른것이다. (x=a에서 문제가 생김)
따라서 f와 g가 공통근을 갖는다면 그건 반드시 x=2 경계여야 하는 것이다.
19, 20번 : 이건 5점인데 3점처럼 내서 너무 아쉽다.
23번: 교육과정을 아슬아슬하게 줄타는 문제인것 같다. 대입을 통해 구하는게 전부지만,
뭘 대입할지 잘 알아야 함수방정식을 해결할 수 있어서..
25번: 이것도 좋은 문제. 사실 이런 문제에서 대칭성을 이용하는건 논술에서 자주 나오지만,
안접해봤다면 접근조차 못할 문제다. 푼 사람과 못푼사람은 대칭성 지식의 차이뿐이니
새로 알아가면 되는 문제. 아직 수능에서도 이런 문제는 안나온거로 아는데 잘 살피자.
풀이)









'취미 > 수학' 카테고리의 다른 글
| 2009 IMO P5 (함수방정식) (0) | 2025.01.31 |
|---|---|
| 2017 IMO 1번 (0) | 2025.01.14 |
| 2025 수능수학 선택과목 기하 후기+풀이 (0) | 2024.11.17 |
| 2025 수능수학 선택과목 미적분 후기+풀이 (0) | 2024.11.17 |
| 2025 수능수학 공통문항 상세후기+풀이 (1) | 2024.11.15 |
댓글